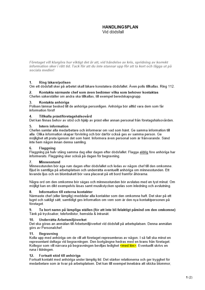
Krishantering - Handlingsplan vid dödsfall 2026

När det uppstår en kris är risken för kaos, chock och förvirring stor. Vid dödsfall är det många aspekter som ska tänkas på och att då ha en färdig handlingsplan för hur situationen ska hanteras skapar trygghet.

Skapa handlingsplanen genom att tänka på så många aspekter som möjligt. Det ingår i det systematiska arbetsmiljöarbetet att alla arbetsplatser ska ha en färdig handlingsplan för olika krissituationer.

Specifikation

  • Krishantering - Handlingsplan vid dödsfall 2026
  • 20243
  • 1,60
  • Svenska
  • 0
  • 2
  • docx
995 kr
Välj din plan

Med vårt abonnemang får du obegränsad tillgång till alla våra dokument och guider