Kategorier
  • Alla mallar
    • Företagsmallar
      • Affärsjuridik & Avtal
        • Bevakning
        • Bolagsordning
        • Bolagsstämma
          • Extra bolagsstämma
          • Årsstämma
        • Delning av bolag
          • Delning - ej upplösning och bildning av bolag
          • Delning - ej upplösning och ej bildning av bolag
          • Delning - upplösning och bildning av bolag
        • Emissioner
          • Privat
            • Emission av konvertibler
            • Fondemission
              • Med utgivande av nya aktier
              • Utan utgivande av nya aktier
            • Nyemission av aktier
              • Apportemission
              • Kontantemission
              • Kvittningsemission
            • Räknare
            • Split och omvänd split
            • Teckningsoptioner
          • Publikt
            • Emission av konvertibler
            • Fondemission
              • Med utgivande av nya aktier
              • Utan utgivande av nya aktier
            • Nyemission av aktier
              • Apportemission
              • Kontantemission
              • Kvittningsemission
            • Räknare
            • Split och omvänd split
            • Teckningsoptioner
        • Filial
        • Fullmakt
        • Fusion
          • Absorption - ej helägt dotterbolag
          • Absorption - helägt dotterbolag
          • Kombination
        • Företagsrekonstruktion
        • Företagsöverlåtelse
          • Avsiktsförklaringar
          • Avtal aktieöverlåtelse
          • Avtal rörelseöverlåtelse
          • Due diligence
          • Fullmakt
          • Investeringsavtal
          • Köp av andelar (HB-KB)
          • Ombilda enskild firma
          • Optionsavtal
          • Tillskott
        • Generationsskifte
        • Handels- och kommanditbolag
        • Immateriella rättigheter
          • Avtal för film, böcker, musik och bild
          • Företagshemligheter
          • Mönsterskydd
          • Patent och uppfinning
          • Upphovsrätt
          • Varumärke
        • Inköp och försäljning
          • Agentavtal och återförsäljare
          • Force majeure
          • Franchising
          • Kommission
          • Köp och försäljning av varor och tjänster
          • Leasing-Hyra
          • Leverantörsbedömning
          • Offentlig upphandling
          • Underleverantör
          • Åtaganden vid leveranser
        • IT-avtal
        • Konsultavtal
        • Licensavtal
          • Know-how
          • Metodpatent
          • Mjukvara
          • Produktpatent
          • Varumärke
        • Likvidation
          • Frivillig likvidation
          • Tvångslikvidation
        • Minskning av aktiekapital
          • Minskning av aktiekapital - avsättning
          • Minskning av aktiekapital - förlusttäckning
          • Minskning av aktiekapital - återbetalning
        • Samarbete
        • Sekretess
          • Anställd
          • Utlämnande
          • Ömsesidig
        • Starta företag
          • Bildande av aktiebolag
        • Tvist och konkurs
          • Alternativa tvistelösningar
            • Medling
            • Skiljeförfarande
            • Tvisteförhandling
          • Konkursanmaning och konkursansökan
          • Kronofogdemyndigheten
          • Tvist i domstol
            • Borgen
            • Domstolsprocesser
            • Fullmakt
            • Förlikning
        • Vinstutdelning
        • Ägaravtal
          • Aktieägaravtal
          • Handelsbolagsavtal
          • Kommanditbolagsavtal
      • Affärsplan
      • Bostadsrättsförening
      • Brandskydd
      • Brott
        • Detektion
          • Övervakning
        • Interna brott/medarbetarbrott
          • Belastningskontroll och belastningsregistret
          • Förebyggande
          • Policydokument
          • Visselblåsning
        • Reaktion
          • Utredning
      • Budgetering och kalkylering
        • Analys
        • Budget
      • Bygg och entreprenad
      • Compliance
        • Allmänna lagkrav
        • Dataskyddsförordningen
          • Datadelning
          • Dataskyddsombud
          • De registrerades rättigheter
          • Energisektorn och personuppgifter
          • GDPR-handbok
          • Kamerabevakning
          • Konsekvensbedömning
          • Nyhetsbrev och personuppgifter
          • Personuppgiftsansvarig och personuppgiftsbiträde
          • Personuppgiftsbehandling i vårdsektorn
          • Personuppgiftsbiträdesavtal
          • Personuppgiftsincident
          • Policydokument
          • Register/förteckning
          • Rekrytering och personuppgifter
          • Rättsliga grunder och principer för behandling m.m.
          • Skolverksamhet och personuppgiftshantering
          • Säkerhet
          • Tredjelandsöverföring
        • Medarbetarbrott
        • Penningtvätt
      • Dataskyddsförordningen
        • Datadelning
        • Dataskyddsombud
        • De registrerades rättigheter
        • Energisektorn och personuppgifter
        • GDPR-handbok
        • Kamerabevakning
        • Konsekvensbedömning
        • Nyhetsbrev och personuppgifter
        • Personuppgiftsansvarig och personuppgiftsbiträde
        • Personuppgiftsbehandling i vårdsektorn
        • Personuppgiftsbiträdesavtal
        • Personuppgiftsincident
        • Policydokument
        • Register/förteckning
        • Rekrytering och personuppgifter
        • Rättsliga grunder och principer för behandling m.m.
        • Skolverksamhet och personuppgiftshantering
        • Säkerhet
        • Tredjelandsöverföring
      • Ekonomi och redovisning
        • Attestrutiner
        • Avstämningar
        • Betalningar
        • Ekonomihandbok
        • Fakturering
        • Kontrollbalansräkning
        • Kundreskontra
        • Lager
        • Leverantörsreskontra
        • Löpande bokföring
        • Policy
        • Pärmar för ekonomi och redovisning
        • Rapportering
        • Redovisnings- och revisionstjänster
        • Räknare
        • Vinstuttag
      • Ekonomisk förening
      • Fastighet och hyra
        • Arrende och nyttjanderätter
        • Fastighetsöverlåtelse
          • Fullmakt
          • Köpekontrakt och köpebrev
        • Förvaltning
        • Hyra - För hyresgäst
        • Hyra - För hyresvärd
        • Hyresavtal - Lokal
        • Samäganderättsavtal
      • Finans
        • Kreditgivning
        • Lån med avskiljbara teckningsoptioner
        • Lån och säkerhet
          • Borgen
          • Förlagslån
          • Kvitto
          • Låneavtal
          • Moderbolagsgarantier
          • Pantsättning
          • Skuldebrev
          • Stödbrev m.m.
        • Optionsavtal
        • Policy
        • Upptagande av kapitalandelslån
        • Upptagande av vinstandelslån
      • Företagssäkerhet
      • Försäljning och marknadsföring
        • Budgetering
        • Internet
        • Marknadsföring och E-postmarknadsföring
        • Mässa
        • Planering
        • Pressmeddelanden
        • Prissättning
        • Provisionssystem
        • Reklam och tryck
        • Socialt ansvarstagande och sponsring
        • Telefonförsäljning
        • Utvärdering
      • Handböcker
      • Hållbarhet
      • Informationssäkerhet
        • Förberedande analys
        • Incidenthantering
        • Kontinuitetsplanering
        • Policy
      • Konflikthantering
      • Krishantering
        • Förberedelse
        • Insatser
        • Krisstödsorganisation
        • Policy
      • Kvalitetssäkring
      • Ledarskap
        • Coaching och mental träning
        • Förhandling
        • Förtroende
        • Kommunikation
        • Ledningsgrupp
        • Motivation
        • Reflektion
        • Resiliens
        • Självkänsla
        • Teamarbete
      • Miljö
      • Offert, order och fakturering
        • Fakturering
        • Krav
        • Offert
        • Order
      • Personal
        • Anställning - upphörande
          • Anställning till 69 år
          • Arbetsbrist
          • Avskedande
          • Betyg och intyg
          • Frivillig överenskommelse
          • Företrädesrätt
          • Personliga förhållanden
          • Provanställning
          • Referenser
          • Sjukersättning
          • Svåra samtal
          • Tidsbegränsad anställning
          • Varsel
        • Anställningsavtal
        • Arbetsbeskrivningar
        • Arbetsmiljö
          • Arbetsmiljöhandbok
          • Hot och våld
          • ISO 45001
          • Organisatorisk och social arbetsmiljö
            • Arbetsbelastning
            • Arbetstid
            • Föreskrifter
            • Kränkande särbehandling
            • Mål
          • Psykisk ohälsa
          • Stress
          • Systematiskt arbetsmiljöarbete
        • Arbetsplatsträffar
        • Bemanningsplanering
        • Bevakning
        • Bilförmån
        • Budgetering och kalkylering
        • Corona
        • Diskriminering
        • Distansarbete
        • Friskvård och hälsa
        • Förslagsverksamhet
        • Förtroendeuppdrag
        • Föräldraledighet
        • Introduktion av nyanställd
        • Kommunikation
        • Konferens
        • Konkurrens
        • Löne- och ersättningsadministration
        • Lönekartläggning
        • Lönesättning och lönesamtal
        • Medarbetarbrott
        • Medarbetarinformation
        • Missbruk
        • Motivation
        • Pension
        • Permittering
        • Personalhandbok
        • Personaluthyrning
        • Policydokument
        • Praktik
        • Pärmar för HR
        • Rehabilitering
        • Rekrytering
        • Semester
        • Sjukfrånvaro
        • testing
        • Tidredovisning
        • Tjänstledighet
        • Uppförandekod/code of conduct
        • Utvecklingssamtal
        • Verksamhetsövergång
      • Produktsäkerhet
      • Produktutveckling
      • Projekt, outsourcing och samarbete
        • Outsourcing
        • Projektsamarbete
        • Sekretess
      • Pärmar
      • Stiftelse
      • Styrelsearbete
        • Aktiebrev och aktiebok
        • Arbetsordning, arbetsfördelning och instruktioner
        • Arvoden och ersättningar
        • Avtal
        • Bolagsordning
        • Bolagsstämma
          • Extra bolagsstämma
          • Årsstämma
        • Budgetering
        • Eget utträde
        • Etik och jäv
        • Fullmakt
        • Kapitalanskaffning
        • Kompetenser
        • Kontrollbalansräkning
        • Kontrollprogram
        • Ledningsgrupp
        • Ordförandeskapet
        • Pärmar för styrelsearbete
        • Rapporter
        • Revision
        • Räknare
        • Styrelsemöten
        • Tidsplanering
        • Årsredovisning
        • Ägardirektiv
      • Vård och omsorg
    • Privatmallar
      • Arrende
      • Arv och testamente
      • Borgen och pant
      • Bostad och fritidshus
      • Ekonomi
      • Fullmakt
      • Gåva
      • Ideell förening
      • Köp, försäljning och hyra
      • Samboende
      • Samägande
      • Tvist
      • Äktenskap
        • Bodelning
        • Underhåll, umgänge och vårdnad
        • Äktenskapsförord
        • Äktenskapsskillnad

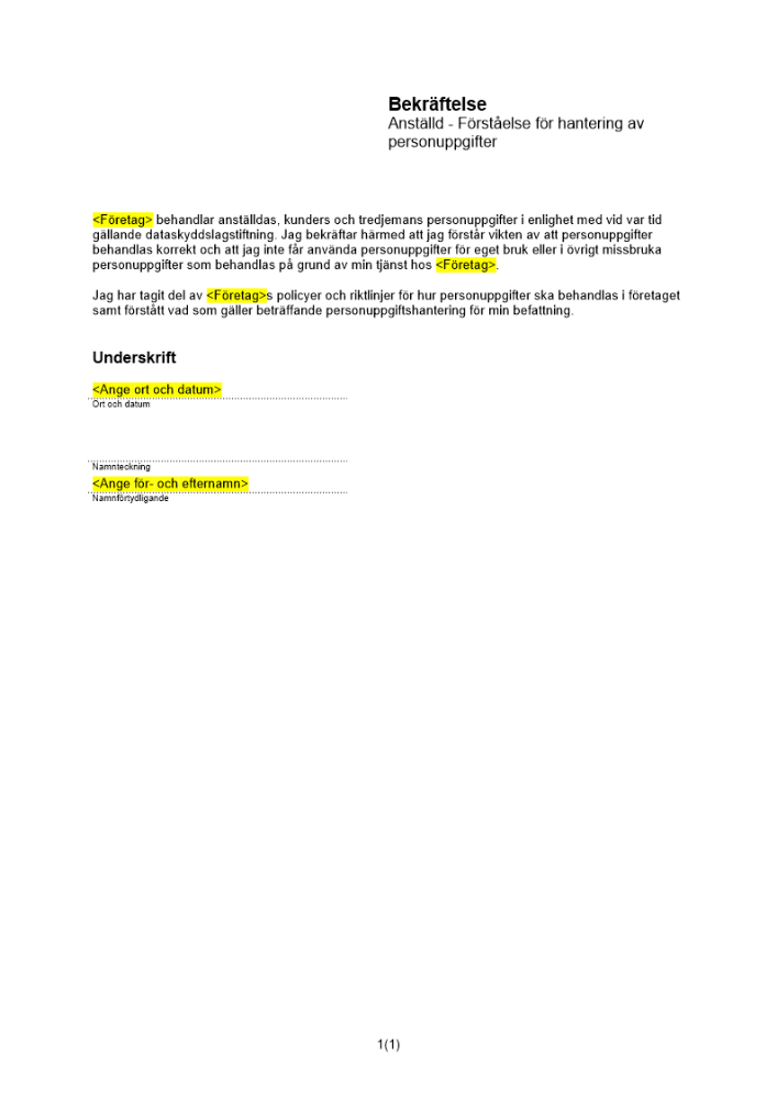
Produkter taggade med 'personuppgifter GDPR dataskyddsförordningen behandling av personuppgifter'