Styrelsens förslag - Kvittningsemission - Privat avstämningsbolag 2025

Denna mall från DokuMera hjälper dig att upprätta styrelsens förslag till en kvittningsemission i ett privat avstämningsbolag.

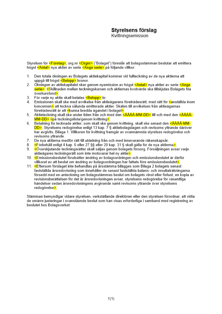
Vid kvittningsemission avskrivs fordringar gentemot bolaget i utbyte mot aktier. Detta kan ske när bolaget har lån som behöver betalas av.

Mallen består av ett förslag från styrelsen till bolagsstämman om att besluta om emission genom kvittning av fordran. Textinnehållet är utförligt och låter dig snabbt upprätta förslaget som är strukturerat med hänsyn till samtliga regler som måste beaktas när denna typ av förslag läggs fram.

Beslutsförslaget är anpassat till ett privat avstämningsbolag avsett att knytas till en viss eller vissa fordringsägare och de överskjutande teckningsrätterna ska säljas av bolaget. Den i mallen angivna anledningen till kvittningsemissionen är att ägarbasen ska breddas, men detta kan som många andra uppgifter i mallen modifieras.

Specifikation

  • Styrelsens förslag - Kvittningsemission - Privat avstämningsbolag 2025
  • 3806
  • 1,32
  • Svenska
  • 10
  • 1
  • docx
595 kr
Välj din plan

Med vårt abonnemang får du obegränsad tillgång till alla våra dokument och guider