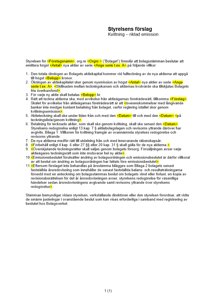
Styrelsens förslag - Riktad emission - kvittning - Privat avstämningsbolag 2026

Denna mall från DokuMera hjälper dig att upprätta styrelsens förslag till en riktad kvittningsemission i ett privat avstämningsbolag.

En riktad emission är riktad till en viss grupp, t ex befintliga aktieägare. Inte sällan är den riktad till en extern placerare. Aktieägarna avstår då från sin rätt att teckna nya aktier vid en emission till förmån för någon annan eller andra.

Dokumentet som DokuMera har tagit fram är ett underlag till ett förslag från styrelsen till stämman om riktad kvittningsemission i ett privat avstämningsbolag.

Specifikation

  • Styrelsens förslag - Riktad emission - kvittning - Privat avstämningsbolag 2026
  • 4907
  • 1,19
  • Svenska
  • 10
  • 1
  • docx
595 kr
Välj din plan

Med vårt abonnemang får du obegränsad tillgång till alla våra dokument och guider