Revisorsyttrande enl 13 kap 6 § ABL (Nyemission) 2026

Denna mall från DokuMera hjälper dig att upprätta underlag för ett revisorsyttrande enligt 13 kap. 6 § ABL (nyemission).

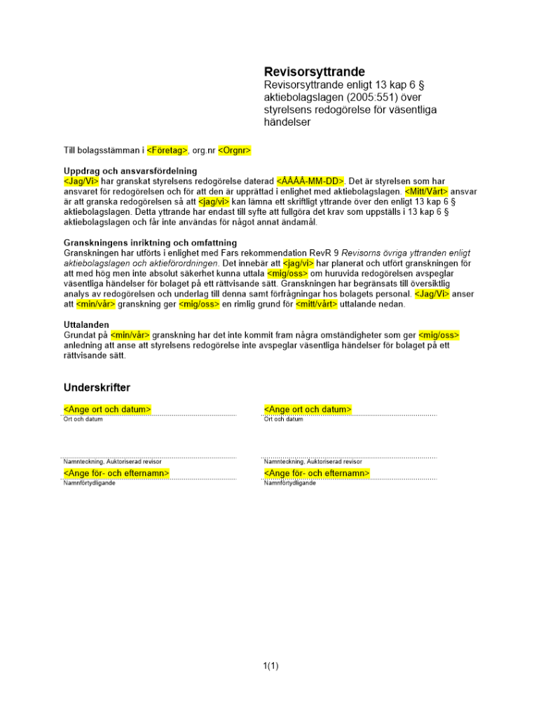
När ett förslag om nyemission av aktier ska framläggas vid bolagsstämman och årsredovisningen inte ska behandlas vid denna stämma, ska förslaget bl.a. innehålla en redogörelse från styrelsen angående händelser av väsentlig betydelse för bolagets ställning, vilka har inträffat efter det att årsredovisningen lämnades. En revisor ska sedan bifoga ett yttrande över denna redogörelse. Revisorn ska vara auktoriserad eller godkänd eller annars utföras av ett registrerat revisionsbolag.

Mallen som DokuMera har utarbetat hjälper dig att beakta samtliga regler rörande revisorsyttrande vid nyemission enligt 13 kap. 6 § ABL.

Specifikation

  • Revisorsyttrande enl 13 kap 6 § ABL (Nyemission) 2026
  • 3811
  • 1,32
  • Svenska
  • 23
  • 1
  • docx
595 kr
Välj din plan

Med vårt abonnemang får du obegränsad tillgång till alla våra dokument och guider